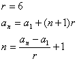
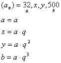
1. a) monotoniczność Weźmy dowolne Wtedy: Na mocy definicji b) Ograniczenia Mówimy, że ciąg jest ograniczony, gdy jest ograniczony z góry i z dołu. zauważmy, że c) Ciąg liczbowy można przedstawić wykresem. 2. Wyznaczamy "r"- stałą oraz "n"-ty wyraz ciągu ze wzorów Podstawiamy wzór sumy i "n" wyrazu do równania oraz rozwiązujemy go. Odp. W ciągu 3. Z warunków zadania wiemy, że: Podstawiamy doprowadzając do jednej niewiadomej i rozwiązujemy układ równań. Układamy czterowyrazowe ciągi z powyższych rozwiązań. Odp. Rozwiązaniem tego zadania są dwa ciągi arytmetyczne spełniające wszystkie warunki zadania. 4. Obliczamy ostatni wyraz ciągu ze wzoru Obliczamy wyrazy ciągu x i y. Odp. Szukanymi wyrazami ciągu są x=80, y=200, które tworzą ciąg geometryczny
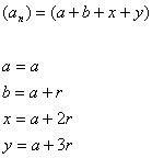
5. Układamy układ równań z trzema niewiadomymi. Układamy i sprawdzamy ciąg geometryczny i arytmetyczny zgodnie z warunkami zadania. Odp. Rozwiązaniem zadania są liczby a=3, b=6, c=9, d=12, 1. a) Badamy monotoniczność ciągu: Jak więc widać ciąg jest rosnący. Ciąg jest ograniczony z dołu, nie jest ograniczony z góry. 2. Sprawdzamy warunek istnienia szeregu: ze wzoru na sumę 3. Boki trójkąta są równe a=18, b=24 i c=30. Jego pole to
i
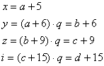
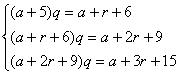
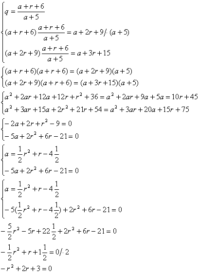
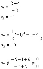
takie, że
![]()
![]()
![]()
![]()
![]()
![]()
![]()
![]()
![]()
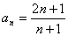
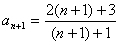
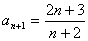
ciąg jest rosnący.![]()
![]()
![]()


![]()
![]()



![]()

liczba jest ujemna więc nie jest
rozwiązaniem
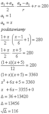
,którego suma jest równa 280 ostatni wyraz to 55.
![]()
![]()


![]()

![]()
![]()


,podstawiamy i obliczamy "q"- iloraz ciągu

![]()
- ciąg arytmetyczny
- ciąg geometryczny
Ponieważ ciąg jest arytmetyczny.
Ponieważ ciąg jest geometryczny.




![]()

![]()

Brak rozwiązania
Ciąg arytmetyczny
Ciąg geometryczny


![]()

![]()
które tworzą ciąg arytmetyczny
oraz ciąg geometryczny zgodnie z zadaniem
.
Grupa 2

b) Badamy ograniczenie ciągu:
Zauważmy, że 

czyli
, więc:


![]()
![]()
![]()
![]()




![]()



.